

A quantificação de ácidos nucleicos é uma etapa fundamental em diversas rotinas de biologia molecular, incluindo preparo de bibliotecas para sequenciamento, PCR, análise genômica e controle de qualidade de amostras. Em muitos casos, o volume disponível de amostra é limitado, o que torna essencial utilizar técnicas analíticas capazes de fornecer alta sensibilidade utilizando quantidades mínimas de material.
Uma abordagem eficiente para esse tipo de análise é a utilização de acessórios de microamostragem por fluorescência, que permitem realizar medições precisas com volumes extremamente reduzidos. O acessório da Jasco, o One Drop SAF-151 foi desenvolvido exatamente com esse objetivo: possibilitar medições espectrais ou quantitativas de proteínas e ácidos nucleicos utilizando apenas uma gota de amostra, dispensando o uso de cubetas convencionais.
Nesse sistema, uma única gota de aproximadamente 5 µL é depositada diretamente na célula de medição a partir de uma pipeta, permitindo medições rápidas e reprodutíveis com preparo mínimo da amostra. Essa abordagem reduz significativamente o consumo de material e facilita a análise sequencial de múltiplas amostras.

O acessório é totalmente compatível com a série FP-8000, incluindo o FP-8250, oferecendo uma solução versátil para aplicações em biologia molecular, bioquímica e ciências da vida.
Neste estudo, demonstramos a aplicação do acessório One Drop para obtenção de dados de fluorescência e construção de uma curva de calibração de λDNA marcado com PicoGreen®, avaliando parâmetros importantes como linearidade e reprodutibilidade das medições.
Parte Experimental
Materiais e método
A análise foi realizada utilizando o espectrofluorímetro FP-8250 equipado com o acessório One Drop SAF-151.
O corante fluorescente PicoGreen foi utilizado para marcar o λDNA, permitindo a detecção sensível do ácido nucleico por fluorescência.
Foram preparadas soluções contendo diferentes concentrações de λDNA marcado com PicoGreen®, cobrindo uma faixa ampla de concentração para avaliação da linearidade do método.
Para cada análise, 5 µL de amostra foram depositados diretamente na célula do acessório One Drop utilizando uma micropipeta. As medições foram realizadas no modo de emissão, registrando o espectro de fluorescência das amostras.
Parâmetros de medição
| Parâmetro | Condição |
| Modo de medição | Emissão |
| Comprimento de onda de excitação | 480 nm |
| Comprimento de onda de emissão | 523 nm |
| Largura de banda (excitação) | 20 nm |
| Largura de banda (emissão) | 20 nm |
| Tempo de resposta | 1 s |
| Sensibilidade | 620 V |

One Drop SAF-151

Espectrofluorímetro FP-8250
Resultados e Discussão
Espectros de fluorescência
Os espectros de fluorescência obtidos para diferentes concentrações de λDNA marcado com PicoGreen® indicaram que o máximo de emissão ocorre em 523 nm, conforme esperado para esse sistema fluorescente.
O aumento da concentração de DNA resultou em um aumento proporcional da intensidade de fluorescência, demonstrando o comportamento típico de sistemas fluorescentes utilizados em quantificação de ácidos nucleicos.

Figura 1. Espectros de fluorescência do λDNA marcado com PicoGreen®
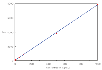
Curva de calibração
Utilizando os valores médios obtidos para cada concentração, foi construída uma curva de calibração relacionando intensidade de fluorescência e concentração de λDNA.

Figura 2. Curva de calibração do λDNA marcado com PicoGreen®
A regressão linear apresentou:
Esses resultados demonstram excelente linearidade do método, confirmando que o sistema é adequado para quantificação precisa de DNA em uma ampla faixa de concentração.
Explore toda a série FP-8000 de espectrômetros de fluorescência
A série FP-8000 oferece alta sensibilidade, versatilidade e uma ampla gama de acessórios para aplicações em biologia molecular, farmacêutica e ciências da vida.
Baixe o catálogo completo e descubra todos os modelos e acessórios disponíveis para expandir as capacidades analíticas do seu laboratório.
Receba o conteúdo da Jasco Brasil direto no seu e-mail.